See tobermorite 14Å.
See tobermorite 14Å.
A column or cylindrical reactor used to describe the reaction kinetics within a continuous, flowing system.
Cf., batch reactor, chemostat, continuously stirred tank reactor
A petrologic term that refers to alteration or crystallization involving a gas phase, typically forming from cooling magma.
Pneumoconiosis is a lung disease caused by the inhalation of (mineral) dusts, characterized by lung inflammation, coughing and development of fibrous connective tissue (fibrosis). Examples of pneumoconiosis include silicosis, caused by respirable silica, and asbestosis, caused by respirable asbestos.
See asbestosis, silicosis
Derived from the Greek podo (foot) and konia (dust), and refers to a condition in which some nano-particles enter the bloodstream through skin causing a condition characterized by gross enlargement of areas of the body (mostly limbs) by blockage of the lymphatic system or by a non-parasite immune system response. This condition is similar to elephantiasis, which is caused by parasite blockage of the lymphatic system.
Syn., nonfilarial elephantiasis
Point defects are structural imperfections that occur at a specific point within an atomic structure, and may produce a variation in the ideal chemical composition of the crystal. “Schottky defects” occur where a vacancy replaces a cation or an anion from their ideal sites in an atomic structure. In such cases, charge neutrality must be maintained, and thus for example, where a cation is replaced by a vacancy either higher valence cations must be substituted for lower valence cations or a corresponding anion must be replaced by a vacancy. “Frenkel defects” involves a misplacement of a cation (“cationic Frenkel defect”) from its site to an interstitial position where a site does not normally reside. Like the Schottky defect, the Frenkel defect must involve charge neutrality (for example, producing a “cationic Frenkel defect” and an “anionic Frenkel defect”). “Impurity defects” affect the chemical composition of the crystal and involve an atom or ion of a different type either in place of an atom or ion that belongs to the crystal or in an extraneous (interstitial) position. An “F center defect” in alkali halides involves a trapped electron in an otherwise vacant site that was formerly occupied by an anion. This defect is thought to cause a color change in the halide.
Cf., line defect
The ten basic operations (center of symmetry, mirror plane, proper and improper rotation axes) and their 22 allowable combinations (total = 32) are called “point groups” or “crystal classes”. A combination is allowable only if “closure” is produced. See “rotation symmetry” for the definition of “closure”.
The pH value of a solution where the negative variable charge equals the positive variable charge for a mineral. The variable charge results from unsatisfied bonds at grain boundaries and any compensating negative (OH–) or positive (H+) ions, and thus is a function of the solution surrounding the mineral grain. The variable charge of a phyllosilicate involves the edges of the particle, whereas the layer charge is the “permanent charge” and not of interest in determining the point of zero charge (“total charge” is the sum of the variable and permanent charges). Surface properties change with the presence and types of ions satisfying the residual charges at the crystal surfaces. For example, the type of ions attaching to the surface can affect flocculation/dispersion properties and therefore, sedimentation rates. Sposito (1998) defines the point of zero charge more succinctly as “the pH value of a solution, where the net surface charge of a particle is zero”. The point of zero charge should not be confused with the “point of zero net proton charge”, which refers to particles where only protons are charge determining. The point of zero charge is not necessarily identical to the isoelectric point (iep), in part because of how they are derived experimentally. The point of zero charge is usually determined from titrations at various ionic strengths, which yield intersecting curves at a single point (the “common intersection point”) which, in the absence of sorption of other charge-determining ions, is identical to the point of zero charge. The iep is determined by electrokinetic methods as the pH where the particle mobility is zero. Both points are only identical if specific adsorption of other ions is absent.
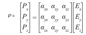
The ability of an atom, ion, or molecule to become polarized (where there is a distortion of its charge distribution). For example, an anion has greater polarizability than a cation because of the tendency of the electron cloud about an anion to be easily distorted by a local electric field. Generally, an anion is unable to hold its outer electrons tightly and therefore it is more readily polarizable than a cation. For a monoatomic atom or ion and some molecules, the polarization vector P has the same direction as the applied electric field vector E, and P = αE, where α is the polarizability. If a molecule has an anisotropic polarizability, that is the polarization P may not follow the direction of the applied electric field E, the polarizability α is a symmetric tensor, and the polarization P is given as:

and because the polarizability tensor is symmetric: alpha(xy) = alpha(yx), alpha(xz) = alpha(zx), and alpha(yz)=alpha(zy).
Cf., polarization, dipole moment
Polarization is the distortion of the charge distribution about an ion or molecule. In effect, the electron cloud about, for example, an anion can become distorted by a neighboring cation, thereby affecting their determined ionic radii. The anion, now polarized by the cation, shares its electrons with the cation and covalent character increases. Polarization may be temporary if the electric field is temporary, and thus a temporary dipole moment may form.
Cf., polarizability